Algorithms¶
Complexity¶
Amortized Analysis¶
Amortized analysis is a method for analyzing a given algorithm's complexity, or how much of a resource, especially time or memory, it takes to execute.
Amortized analysis requires knowledge of which series of operations are possible. This is most commonly the case with data structures, which have state that persists between operations. The basic idea is that a worst-case operation can alter the state in such a way that the worst case cannot occur again for a long time, thus "amortizing" its cost.
There are generally three methods for performing amortized analysis: the aggregate method, the accounting method, and the potential method. All of these give correct answers; the choice of which to use depends on which is most convenient for a particular situation.
- Aggregate analysis determines the upper bound \(\mathcal{T}(n)\) on the total cost of a sequence of \(n\) operations, then calculates the amortized cost to be \(\mathcal{T}(n) / n\).
- The accounting method is a form of aggregate analysis which assigns to each operation an amortized cost which may differ from its actual cost. Early operations have an amortized cost higher than their actual cost, which accumulates a saved "credit" that pays for later operations having an amortized cost lower than their actual cost. Because the credit begins at zero, the actual cost of a sequence of operations equals the amortized cost minus the accumulated credit. Because the credit is required to be non-negative, the amortized cost is an upper bound on the actual cost. Usually, many short-running operations accumulate such credit in small increments, while rare long-running operations decrease it drastically.
- The potential method is a form of the accounting method where the saved credit is computed as a function (the "potential") of the state of the data structure. The amortized cost is the immediate cost plus the change in potential.
Consider a dynamic array that grows in size as more elements are added to it, such as ArrayList in Java or std::vector in C++. If we started out with a dynamic array of size 4, we could push 4 elements onto it, and each operation would take constant time. Yet pushing a fifth element onto that array would take longer as the array would have to create a new array of double the current size (8), copy the old elements onto the new array, and then add the new element. The next three push operations would similarly take constant time, and then the subsequent addition would require another slow doubling of the array size.
In general, for an arbitrary number \(n\) of pushes to an array of any initial size, the times for steps that double the array add in a geometric series to \(\mathcal{O}(n)\), while the constant times for each remaining push also add to \(\mathcal{O}(n)\). Therefore the average time per push operation is \(\mathcal{O}(n)/n = \mathcal{O}(1)\).
class Queue:
# Initialize the queue with two empty lists
def __init__(self):
self.input = [] # Stores elements that are enqueued
self.output = [] # Stores elements that are dequeued
def enqueue(self, element):
self.input.append(element) # Append the element to the input list
def dequeue(self):
if not self.output: # If the output list is empty
# Transfer all elements from the input list to the output list, reversing the order
while self.input: # While the input list is not empty
self.output.append(
self.input.pop()
) # Pop the last element from the input list and append it to the output list
return self.output.pop() # Pop and return the last element from the output list
The enqueue operation just pushes an element onto the input array; this operation does not depend on the lengths of either input or output and therefore runs in constant time.
However the dequeue operation is more complicated. If the output array already has some elements in it, then dequeue runs in constant time; otherwise, dequeue takes \(\mathcal{O}(n)\) time to add all the elements onto the output array from the input array, where \(n\) is the current length of the input array. After copying \(n\) elements from input, we can perform \(n\) dequeue operations, each taking constant time, before the output array is empty again. Thus, we can perform a sequence of \(n\) dequeue operations in only \(\mathcal{O}(n)\) time, which implies that the amortized time of each dequeue operation is \(\mathcal{O}(1)\).
Alternatively, we can charge the cost of copying any item from the input array to the output array to the earlier enqueue operation for that item. This charging scheme doubles the amortized time for enqueue but reduces the amortized time for dequeue to \(\mathcal{O}(1)\).
Binary Search¶
Find insert position¶
Binary search is a search algorithm that finds the position of a target value within a sorted array.
Usually, within binary search, we compare the target value to the middle element of the array at each iteration.
- If the target value is equal to the middle element, the job is done.
- If the target value is less than the middle element, continue to search on the left.
- If the target value is greater than the middle element, continue to search on the right.
- If the target value is not found, the loop will be stopped at the moment when
right < leftandnums[right] < target < nums[left]. Hence, the proper position to insert the target is at the indexleft.
- Starting from
left = 0andright = n - 1, we then move either of the pointers according to various situations: - While
left <= right:- The pivot index is the one in the middle:
pivot = (left + right) / 2. The pivot also divides the original array into two subarrays. - If the target value is equal to the pivot element:
target == nums[pivot], we're done. - If the target value is less than the pivot element
target < nums[pivot], continue to search on the left subarray by moving the right pointerright = pivot - 1. - If the target value is greater than the pivot element
target > nums[pivot], continue to search on the right subarray by moving the left pointerleft = pivot + 1.
- The pivot index is the one in the middle:
- If not stopped already, return
left.
Search a 2D Matrix¶
You are given an m x n integer matrix matrix with the following two properties: Each row is sorted in non-decreasing order. The first integer of each row is greater than the last integer of the previous row. Given an integer target, return true if target is in matrix or false otherwise.
Since each row is sorted and the first element of each row is greater than the last of the previous, we can treat the matrix like a flattened sorted array and apply binary search.
Time Complexity: \(\mathcal{O}(\log(m \star n))\) binary search over all elements Space Complexity: \(\mathcal{O}(1)\) constant space used
def searchMatrix(matrix: List[List[int]], target: int) -> bool:
rows, cols = len(matrix), len(matrix[0])
start, end = 0, rows * cols - 1
while start <= end:
mid = (start + end) // 2
row, col = mid // cols, mid % cols
current = matrix[row][col]
if current == target:
return True
if current < target:
start = mid + 1
else:
end = mid - 1
return False
def searchMatrix(matrix: List[List[int]], target: int) -> bool:
idx = len(matrix) // 2
if len(matrix) == 0: return False
start, end = matrix[idx][0], matrix[idx][-1]
if target in matrix[idx]:
return True
elif target < start:
return self.searchMatrix(matrix=matrix[:idx], target=target)
elif target > end:
return self.searchMatrix(matrix=matrix[idx+1:], target=target)
else:
return False
Peak detection¶
A peak element is an element that is strictly greater than its neighbors. Given a 0-indexed integer array nums, find a peak element, and return its index. If the array contains multiple peaks, return the index to any of the peaks.
Since we only need one peak, and the array's values are distinct enough, we can leverage binary search rather than scanning linearly.
- Use two pointers, left and right, to bound the search space.
- At each step, calculate mid.
- If
nums[mid] > nums[mid + 1], the peak is to the left, including mid. - Otherwise, the peak is to the right.
- The loop stops when left == right, which will be a peak.
This efficient binary search approach guarantees finding a peak in logarithmic time
Time Complexity: \(\mathcal{O}(\log(n))\) binary search Space Complexity: \(\mathcal{O}(1)\) constant space used
Sliding Window¶
Minimum Size Subarray Sum¶
Given an array of positive integers nums and a positive integer target, return the minimal length of a subarray whose sum is greater than or equal to target. If there is no such subarray, return 0 instead.
Pseudocode
Backtracking¶
Template¶
def backtrack(candidate):
if find_solution(candidate):
output(candidate)
return
# iterate all possible candidates.
for next_candidate in list_of_candidates:
if is_valid(next_candidate):
# try this partial candidate solution
place(next_candidate)
# given the candidate, explore further.
backtrack(next_candidate)
# backtrack
remove(next_candidate)
Kadane's Algorithm¶
n computer science, the maximum sum subarray problem, also known as the maximum segment sum problem, is the task of finding a contiguous subarray with the largest sum, within a given one-dimensional array A[1...n] of numbers. It can be solved in \(\mathcal{O}(n)\) time and \(\mathcal{O}(1)\) space. Kadane' Algorithm is an algorithm to solve it.
- Initialize 2 integer variables. Set both of them equal to the first value in the array.
current_sumwill keep the running count of the current subarray we are focusing on.best_sumwill be our final return value. Continuously update it whenever we find a bigger subarray.
- Iterate through the array, starting with the 2nd element (as we used the first element to initialize our variables). For each number, add it to the
current_sumwe are building. Ifcurrent_sumbecomes negative, we know it isn't worth keeping, so throw it away. Remember to updatebest_sumevery time we find a new maximum. - Return
best_sum
def max_subarray(numbers):
"""Find the largest sum of any contiguous subarray."""
best_sum = float('-inf')
current_sum = 0
for x in numbers:
# clever way to update current_sum when encountering negative numbers
current_sum = max(x, current_sum + x)
best_sum = max(best_sum, current_sum)
return best_sum
Sum Problems¶
Given an array of integers nums and an integer target, return indices of the two numbers such that they add up to target.
Given a 1-indexed array of integers numbers that is already sorted in non-decreasing order, find two numbers such that they add up to a specific target number. Let these two numbers be numbers[index1] and numbers[index2] where 1 <= index1 < index2 <= numbers.length. Return the indices of the two numbers, index1 and index2, added by one as an integer array [index1, index2] of length 2.
Given an integer array nums, return all the triplets [nums[i], nums[j], nums[k]] such that i != j, i != k, and j != k, and nums[i] + nums[j] + nums[k] == 0. Notice that the solution set must not contain duplicate triplets.
The intuition is to reduce the 3 sum problem to a two sum, by fixing one pointer and thus reduce the search space.
def threeSum(nums: List[int]) -> List[List[int]]:
target = 0
nums = sorted(nums)
solutions = set()
prevp1 = None
for p1 in range(0, len(nums)-3+1):
# if we have seen this value already, skip it
if p1 == prevp1:
continue
p1val = nums[p1]
remnums = nums[p1+1:]
p2, p3 = 0, len(remnums) - 1
if p2 == p3:
continue
while True:
if p3 <= p2:
break
candidate = p1val + remnums[p2] + remnums[p3]
if candidate == target:
solutions.add((p1val, remnums[p2], remnums[p3]))
p2 += 1
p3 -= 1
elif candidate < target:
p2 += 1
elif candidate > target:
p3 -= 1
prevp1 = p1
return list(solutions)
def threeSum(nums: List[int]) -> List[List[int]]:
# Init variables that will hold the response and duplicates
response, duplicates = set(), set()
# Init lookup for already seen complements
seen = {}
# Iterate through the array so we can anchor the 3sum problem and reduce it to a 2sum.
for i, v1 in enumerate(nums):
# Check if value has already been handled - we do not want duplicates.
if v1 not in duplicates:
# Make sure we will never touch this value again in the future.
duplicates.add(v1)
# For the remainder of the nums list, iterate with the next value
for j, v2 in enumerate(nums[i+1:]):
# Calculate the complement
# this is the final piece that is missing to get to the target 0
complement = - v1 - v2
if complement in seen and seen[complement] == i:
response.add(tuple(sorted((v1, v2, complement))))
# This allows us to use the nums[j] as a complement for nums[i]
seen[v2] = i
return [list(triplet) for triplet in response]
Dynamic Programming¶
Template¶
- Start with the recursive backtracking solution
- Optimize by using a memoization table (top-down2 dynamic programming)
- Remove the need for recursion (bottom-up dynamic programming)
- Apply final tricks to reduce the time / memory complexity
Staircase Costs¶
Similar to the staircase problem mentioned in Fibonacci.
You are given an integer array cost where cost[i] is the cost of ith step on a staircase. Once you pay the cost, you can either climb one or two steps. You can either start from the step with index 0, or the step with index 1. Return the minimum cost to reach the top of the floor.
Basically a bruteforce approach.
- Time: \(\mathcal{O}(2^n)\)
- Space: \(\mathcal{O}(1)\) constant space
Sorting¶
Countingsort¶
- Counts the values instead of compares them.
- The helper array is used to calculate the position.
- Complexity is \(\mathcal{O}(n + k)\) (aka linear) compared to other sorting algorithms who are \(\mathcal{O}(n \log n)\).
- Does not compare values but count them in a seperate array with \(k\) values.
- Is only suited for small variatiation of values compared the amount of values. E.g. sort all inhabitants of switzerland by age.
def counting_sort(arr):
# 1. Find the maximum element to determine the range
max_val = max(arr)
# 2. Initialize count array with zeros
count = [0] * (max_val + 1)
# 3. Store the count of each element
for num in arr:
# Basic check for non-negative assumption
if num < 0:
raise ValueError("Counting sort requires non-negative integers.")
count[num] += 1
# 4. Reconstruct the sorted array from the count array
sorted_arr = []
for i in range(max_val + 1):
# Append the element 'i', 'count[i]' times
sorted_arr.extend([i] * count[i])
return sorted_arr
The \(h\)-index is defined as the maximum value of \(h\) such that the given researcher has published at least \(h\) papers that have each been cited at least \(h\) times.
Technically speaking the \(h\)-index problem is not a typical problem for counting sort. However, \(h\)-index has the upper bound constraint of \(n\) papers. Thus, we can cap the citations.
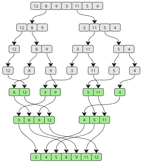
Merge Sort¶
The Merge Sort algorithm is a divide-and-conquer algorithm that sorts an array by first breaking it down into smaller arrays, and then building the array back together the correct way so that it is sorted.
- Divide the unsorted array into two sub-arrays, half the size of the original.
- Continue to divide the sub-arrays as long as the current piece of the array has more than one element.
- Merge two sub-arrays together by always putting the lowest value first.
- Keep merging until there are no sub-arrays left.
def sortList(arr):
step = 1 # Starting with sub-arrays of length 1
length = len(arr)
while step < length:
for i in range(0, length, 2 * step):
left = arr[i:i + step]
right = arr[i + step:i + 2 * step]
merged = merge(left, right)
# Place the merged array back into the original array
for j, val in enumerate(merged):
arr[i + j] = val
step *= 2 # Double the sub-array length for the next iteration
return arr
def merge(left, right):
result = []
i = j = 0
while i < len(left) and j < len(right):
if left[i] < right[j]:
result.append(left[i])
i += 1
else:
result.append(right[j])
j += 1
result.extend(left[i:])
result.extend(right[j:])
return result
def sortList(head: Optional[ListNode]) -> Optional[ListNode]:
if not head or not head.next:
return head
slow, fast = head, head
prev = None
while fast and fast.next:
prev = slow
slow = slow.next
fast = fast.next.next
prev.next = None
left = sortList(head)
right = sortList(slow)
return merge(left, right)
def merge(l1, l2):
dummy = ListNode(0)
cur = dummy
while l1 and l2:
if l1.val < l2.val:
cur.next = l1
l1 = l1.next
else:
cur.next = l2
l2 = l2.next
cur = cur.next
if l1: cur.next = l1
if l2: cur.next = l2
return dummy.next
Selection¶
Quickselect¶
TODO
